客户案例
全站仪红外测距误差分析!(一)
来源: | 作者:instrument-1029804 | 发布时间: 2025-04-26 | 484 次浏览 | 🔊 点击朗读正文 ❚❚ | 分享到:


北京远岚测绘仪器销售公司

免费咨询电话:4006786918

石建香:18501380689

严永红:13718595345

姚   远:18601170303

王京缘:18501151385

一、测距误差的来源和分类

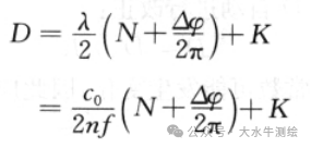
按照相位法测距基本公式,并顾及仪器加常数K,  写成:

图片

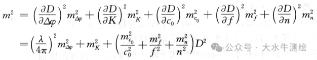
由上式可以看出,测距误差是由Co、n、f、△φ和 K 的误差所引起的,这些误差相互独立。根据误差传播定律,有:

图片

由上式可见,测距误差可分为两类:一类是与距离远近无关的误差,即式中测相误差和仪器加常数误差,称为固定误差;另一类是与距离呈比例的误差,即光速误差、频率误差和大气折射率误差,称为比例误差。

显然,式中尚未包括仪器和棱镜的对中误差mg和 mR以及周期误差mA 。对中误差对测距的影响与距离远近无关,属于固定误差,周期误差主要来自信号的干扰,有固定误差成分,也有可变成分,但只与精测距离的尾数相关,故也看成是固定误差。因此上式经完善可写成:

图片

二、各项误差分析

1、固定误差

(1)测相误差

测相误差就是测定相位差的误差。测相精度是影响测距精度的主要因素之一,因此应尽量减小此项误差。

测相误差包括测相系统的误差、幅相误差、照准误差和由噪声而引起的误差。

①测相系统的误差可通过提高电路和测相装置的质量来解决。幅相误差是指由于接收信号强弱不同而引起的测距误差。目前使用的仪器一般均设有自动光强调整系统,以调节信号的强度。

②照准误差是指发光二极管所发射的光束相位不均匀,以不同部位的光束照射反射棱镜时,测距不一致而产生的误差。此项误差主要取决于发光管的质量。此外可采用一些光学措施,如混相透镜等, 在观测时采用电瞄准的方法,以减小照准误差。

③由噪声引起的误差是指大气振动及光、电信号的干扰而产生噪声,降低了仪器对测距信号的辨别能力而产生的误差,可采用增大测距信号强度的方法来减少噪声的影响。另外,这项误差是随机的,仪器采用增加检测次数而取平均值的方法,也可以减弱其影响。

(2)仪器加常数误差

如下图所示:

图片

仪器加常数K是仪器常数K1和棱镜常数K2之和。

K1是仪器的竖轴中心线至机内距离起算参考面的距离;K2是棱镜基座中心轴线至棱镜等效反射面的距离。

由于仪器加常数的存在,使得测出的距离值与实际值不符, 因而必须改正。因为加常数K 是与所测距离远近无关的一个常数,所以在仪器出厂前都经过检测,已预置于仪器中,对所测的距离D '自动进行改正:

D=D'+K

但在搬运和使用过程中,加常数可能发生变化,因此应定期进行检测,将所测加常数的新值置于仪器中,以取代原值。

北京远岚测绘仪器销售公司

免费咨询电话:4006786918

石建香:18501380689

严永红:13718595345

姚   远:18601170303

王京缘:18501151385

版权声明本平台部分内容源于网络,仅作为分享,不代表本号的观点。

我们尊重知识与劳动, 版权归相关权利人所有,如有侵权请联系我们删除。

产品分类
联系我们

全国服务热线:400-6786918

地址:北京市通州区永顺镇竹木厂小区4号楼3单元3011室

邮箱:bjyuanlan@outlook.com